ÄúÏÖÔÚµÄλÖãºÖйúũҵÒÇÆ÷Íø > ¼¼ÊõÎÄÕ > GPS²âĶÒǵŤ×÷ÔÀí
GPS²âĶÒǵŤ×÷ÔÀí
GPS²âĶÒǵŤ×÷ÔÀí
GPS²âĶÒÇÓɸ߾«¶ÈµÄGPS¶¨Î»ÏµÍ³¡¢¾«È·Ãæ»ý¼ÆËã·½·¨£¬ÊµÏÖÁËÈκβ»¹æÔòÃæ»ýµÄʵʱ²âÊÔ¡¢¶¯Ì¬Í¼ÐÎÏÔʾºÍÊý¾ÝÖÇÄÜ»¯´¦ÀíºÍ´¢´æ¡£ÊÊÓÃÓÚÅ©Ìï¡¢Â̵ء¢ÉÁÖ¡¢Ë®Óò¡¢É½ÆÂµÈÃæ»ýµÄ²âÁ¿£¬Ò»´Î²âÁ¿¿Éͬʱ»ñµÃ²âÁ¿Ãæ»ý¡¢Öܳ¤¡¢¾àÀë¡¢ÆÂ¶ÈµÈÊý¾Ý¡£¿ÉËæÊ±µ÷ÓòâÁ¿µÄÃæ»ýͼÐκÍËùÓвâÁ¿Êý¾Ý£¬±ãÓÚµµ°¸±£´æ¡£ÊÇũҵ¡¢ÁÖÒµ¡¢Ë®Àû¡¢ÍÁ¹ÜµÈ²¿Ãż°Å©»ú×÷ÒµÊշѵıã½Ý²âÁ¿¹¤¾ß¡£
GPS²âĶÒDzÉÓõÄGPSÈ«ÇòÎÀÐǶ¨Î»ÏµÍ³Äܹ»ÌṩʵʱµÄ¾¶È¡¢Î³¶È¡¢¸ß³ÌµÈµ¼º½ºÍ¶¨Î»ÐÅÏ¢£¬ÀûÓÃGPSµÄ¶¨Î»¹¦ÄÜ£¬µÃ³ö¸÷¸öµãµÄ×ø±ê£¬ÔÙͨ¹ýÊýѧ·½·¨¼ÆËã³ö¾àÀë¡¢Ãæ»ýµÈÊý¾Ý¡£ ¡¡
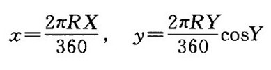
¡¡ÓÉÓÚµØÇòÊÇÒ»¸öÍÖÇò£¬ÎªÁ˾«È·¼ÆËã¾àÀë»òÃæ»ý£¬Ò»°ã²ÉÓÃͶӰµÄ·½Ê½×ª»»³ÉÆ½Ãæ×ø±ê¡£ÔÚÎÒ¹ú£¬¶ÔÓÚ´ó±ÈÀý³ßµÄµØÍ¼Í¨³£²ÉÓøß˹һ¿ËÂÀ¸ñͶӰ½øÐÐת»»£¬È»¶øÍ¶Ó°·¨¼ÆËãÊ®·Ö¸´ÔÓ£¬ÄÑÒÔÔÚµ¥Æ¬»úÖÐʵÏÖ¡£ÎªÁ˼ò»¯¼ÆË㣬ÎÒÃǽ«µØÇòÊÓΪÕýÇòÌ塣ȡµØÇò°ë¾¶Îª6371116m£¬Ôò¿Éת»»³ÉÆ½Ãæ×ø±ê£º

ʽÖУºRΪµØÇò°ë¾¶£¬xΪ¾¶È/m£¬y Ϊγ¶È/m¡£ÔòÔÚµØÇò±íÃæY¾¶È´¦£¬¾¶È²î¡¢Î³¶È²î¸÷Ϊһ¶ÈµÄ·½¸ñÃæ»ýΪ£º

- ¡¾ÖйúũҵÒÇÆ÷Íø¡¿ÉùÃ÷²¿·ÖÎÄÕÂ×ªÔØ×ÔÆäËüýÌå£¬×ªÔØÄ¿µÄÔÚÓÚ´«µÝ¸ü¶àÐÅÏ¢£¬²¢²»´ú±í±¾ÍøÔÞͬÆä¹ÛµãºÍ¶ÔÆäÕæÊµÐÔ¸ºÔð£¬ÇÒ²»³Ðµ£´ËÀà×÷Æ·ÇÖȨÐÐΪµÄÖ±½ÓÔðÈμ°Á¬´øÔðÈΡ£ÈçÉæ¼°×÷Æ·ÄÚÈÝ¡¢°æÈ¨ºÍÆäËüÎÊÌ⣬ÇëÔÚ30ÈÕÄÚÓë±¾ÍøÁªÏµ¡£
- ÉÏһƪ£º¼ÆÄ¶Æ÷¼¼ÊõÓÅÊÆ
- ÏÂһƪ£º×Ô¶¯ÆøÏóÊý¾Ý¼à²â¼Ç¼ÒÇÌØµã¹¦ÄÜ









