ÄúÏÖÔÚµÄλÖãºÖйúũҵÒÇÆ÷Íø > ¼¼ÊõÎÄÕ > ÍÁµØÃæ»ý²âÁ¿
ÍÁµØÃæ»ý²âÁ¿
ÔÚ½øÐÐÍÁµØÏê²é»òÕ߯äËûÅ©ÁÖÒµÉú²ú¹ý³ÌÖУ¬³£³£»áÐèÒªÁ˽âÒ»¿éÍÁµØµÄÃæ»ý¡£´Ëʱ£¬Òª¾³£½øÐÐÍÁµØÃæ»ý²âÁ¿¡£Ä¿Ç°£¬ÎÒÃÇËù²ÉÓõÄÍÁµØÃæ»ý²âÁ¿·½·¨Ö÷ÒªÓУºÍø¸ñ·¨¡¢×ݾàºÍ·¨¡¢Çó»ýÒÇ·¨ºÍ¿ØÖÆ·¨µÈ·½·¨¡£µ«ÊÇ£¬Ò»°ãÔÚÏÖʵÉú»îÖУ¬ÎÒÃÇËùÐè²âÁ¿µÄÍÁµØ¶¼ÊDz»¹æÔòµÄ£¬ÎÞ·¨ÔÚµØÐÎͼÖй´»æ³öÀ´£¬´Ëʱ£¬ÎÒÃǾͿɲÉÓñ߲â±ß¼ÆËãµÄ·½·¨¡ªÖ±½Ó¼ÆËã·¨£¬À´²âµÃËùÐèÍÁµØµÄÃæ»ý¡£
ÏÂÃæÎÒÃÇ×ÅÖØ½éÉÜϲâ±ß·¨ÇóÃæ»ýÕâÒ»ÍÁµØÃæ»ý²âÁ¿·½·¨£º
µ±²âÇøµÄÐÎ״Ϊ¾ØÐÎʱ£¬Ö»Ðè²âÁ¿³¤Óë¿í½ø¶øÇóµÃÃæ»ý¡£Èç¹û²âÇøµÄÐÎ״Ϊ·Ç¾ØÐεIJ»¹æÔò¶à±ßÐΣ¬Ð轫²âÇø·Ö¸î³ÉÐí¶àÈý½ÇÐΣ¬Èçͼ1²âÁ¿Ã¿¸öÈý½ÇÐεı߳¤£¬Ëã³öÿ¸öÈý½ÇÐεÄÃæ»ý£¬½«ËùÓÐÈý½ÇÐÎÃæ»ýÀۼӾ͵õ½²âÇøÍÁµØµÄÃæ»ý¡£ÒÑÖªÈý±ß¼ÆËãÈý½ÇÐÎÃæ»ýµÄ¹«Ê½Îª£ºS= ¡Ì p (p-a)(p-b)(p-C)¡££¨1£©ÆäÖУºa,bΪÈý±ß³¤£¬pΪÈý½ÇÐεİëÖܳ¤¡£

ͼ 1 ±»²âÍÁµØÐÎ×´
ͨ¹ýÉÏÃæµÄ¼ÆË㣬ÎÒÃǵõ½ÁËËùÐè²âÁ¿ÍÁµØµÄÃæ»ý¡£È»ºóÎÒÃÇÒª¸ù¾ÝÍÁµØÃæ»ý²âÁ¿µÄ½á¹û£¬À´½øÐÐÃæ»ý²âËãµÄ¾«¶È·ÖÎö¡£
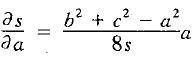
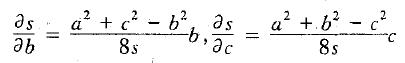
ÓÉ( 1) ʽÁ½±ß·Ö±ð¶ÔÈý±ß΢·Ö£¬µÃ:

,»¯ÎªÖÐÎó²îÐÎʽ£¬ÔòÈý½ÇÐÎÃæ»ýµÄÖÐÎó²îmsΪ
ÆäÖУºa¡¢b¡¢cΪÈý½ÇÐεÄÈý±ß³¤£¬A,B,CΪÈý±ß¶ÔÓ¦µÄÄڽǣ¬md/dΪ²â¾àµÄÏà¶ÔÎó²î£¬SΪÈý½ÇÐεÄÃæ»ý¡£
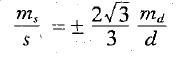
µ±Èý½ÇÐÎΪµÈ±ßʱ£¬Óɲâ±ßÒýÆðµÄÃæ»ýµÄÏà¶Ô²âÁ¿Îó²îΪ
Òª´ïµ½1 /10 00µÄÃæ»ýÏà¶Ô¾«¶È£¬Æ½¾àµÄ²âÁ¿Ïà¶Ô¾«¶ÈÒª´ïµ½1/1 155¡£
- ¡¾ÖйúũҵÒÇÆ÷Íø¡¿ÉùÃ÷²¿·ÖÎÄÕÂ×ªÔØ×ÔÆäËüýÌå£¬×ªÔØÄ¿µÄÔÚÓÚ´«µÝ¸ü¶àÐÅÏ¢£¬²¢²»´ú±í±¾ÍøÔÞͬÆä¹ÛµãºÍ¶ÔÆäÕæÊµÐÔ¸ºÔð£¬ÇÒ²»³Ðµ£´ËÀà×÷Æ·ÇÖȨÐÐΪµÄÖ±½ÓÔðÈμ°Á¬´øÔðÈΡ£ÈçÉæ¼°×÷Æ·ÄÚÈÝ¡¢°æÈ¨ºÍÆäËüÎÊÌ⣬ÇëÔÚ30ÈÕÄÚÓë±¾ÍøÁªÏµ¡£
- ÉÏһƪ£º×ÏÍâ·Ö¹â¹â¶È¼ÆÔÚũҵ¼ì²âµÄÖ÷ÒªÓÃ..
- ÏÂһƪ£º±ê×¼Á¼ÌïÏîÄ¿









